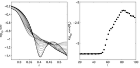
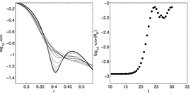
This research project studies the growth of spiral instabilities in protoplanetary disks, their role in angular momentum transport and the possible influence on planetary formation. It explores the possible connection of the growth of embedded gas giant(s) and the opening of a gap in surface density to fast-growing spiral modes excited by surface density depressions (so-called “groove modes”).
Further reading
- Meschiari & Laughlin, ApJL, 2008
- Talk (Keynote, PowerPoint, PDF, HTML)
- Poster (PDF)
- Post on Oklo
Resources
Movies are in AVI format, and have been compressed using the XviD codec. VLC is a great
cross-platform movie player that can play XviD movies. You can also download and install the XviD codec to play these movies in the browser
(Windows/Linux: here, OS X: here).
Disk, no groove
Disk, no groove, linear prediction
Disk with groove
Disk with groove, linear prediction
All models
Gap evolution






